热轧钢材组织演变和力学性能预测—半经验模型、机器学习到工业大模型
刘振宇1,吴思炜1,丛津功2,梁亮3,周晓光1,曹光明1 (1.东北大学轧制技术及连轧自动化国家重点实验室;2.鞍山钢铁集团有限公司;3.湖南华菱涟源钢铁有限公司技术中心)
摘要:钢材热轧过程中,轧件显微组织演变、表面氧化与轧制力能负荷相互影响,构成了“牵一发而动全身”的复杂黑箱系统。长期以来,国内外一直采用数学模型分离求解,导致只能近似解析而无法实现精确求解,制约了产品综合质量的进一步提升。通过深度挖掘实验数据和热轧工业数据,我国开发出集力能、组织及界面耦合的热轧工业大模型,实现了热轧主流程的全面、精准解析。介绍了我国热轧钢材组织演变和力学性能预测技术的发展历程及最新发展方向,为钢铁行业数字化转型提供借鉴和参考。
关键词:热轧钢材;组织演变;力学性能;半经验模型;机器学习;工业大模型;预测;数字化转型
目录介绍
1 钢材显微组织和力学性能演变模拟方法
1.1 基于经典理论的半经验模型(20世纪80-90年代)
1.2 人工神经网络建模(20世纪90年代至今)
1.3 机器学习建模(从2010年至今)
2 未来发展:热轧工业大模型(现在)
2.1 从实验数据中提取知识
2.2 控制轧制大模型
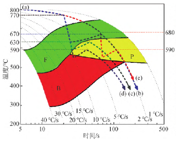
2.3 连续冷却相变大模型
2.4 基于深度学习的力学性能波动跟踪
2.5 工业应用
(1)管线钢高效轧制技术
(2)力学性能稳定性在线控制
3 结语
©软件著作权归作者所有。本站所有文件均来源于网络,仅供学习使用,请支持正版!
转载请注明出处!

发表评论 取消回复