国内外直线导轨用材优选及产品对比分析研究
宋亚南,郝庆乐,赵凯鹏,龙伟民,苏霄鹏,俞鑫山(中国机械总院集团宁波智能机床研究院有限公司)
摘要:直线导轨是数控机床中承担扭矩及高负载的关键零部件,对机床的精度保持性和功能可靠性起着至关重要的作用。目前国内缺乏系统的选材用材评价体系,且对国内外产品对比研究较少,导致缺乏有效的对标参考和借鉴依据。本工作首先对直线导轨用材优选进行深入阐述,并选取了国内外具有代表性的直线导轨产品为研究对象,从材料学角度出发,对产品的材料成分、显微组织、淬硬层深度、非金属夹杂、碳化物不均匀性及残余应力等进行了细致分析与对比研究,旨在找出性能差异,并从摩擦学角度出发探讨了滑动摩擦磨损机理,揭示耐磨性与组织本构关系。基于对比分析得到的数据差异,对直线导轨质量调控提出了优化策略,为国产直线导轨性能的提升提供支撑。
关键词:直线导轨;用材优选;对比分析;摩擦磨损;质量优化
目录介绍
关键词:直线导轨;用材优选;对比分析;摩擦磨损;质量优化
0 引言
1 直线导轨用材优选
2 实验
2.1 原材料
2.2 试样制备及试验方法
(1)成分测试试样制备及试验方法
(2)显微组织测试试样制备及试验方法
(3)硬化层深度测试试样制备及试验方法
(4)非金属夹杂物与碳化物不均匀性测试试样制备及试验方法
(5)残余应力测试试样制备及试验方法
(6)滑动摩擦磨损测试试样制备及试验方法
3 结果分析
3.1 成分对比分析
3.2 显微组织对比分析
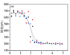
3.3 硬化层深度对比分析
3.4 非金属夹杂物与碳化物不均匀性对比分析
3.5 残余应力对比分析
3.6 滑动摩擦磨损对比分析
4 结论
©软件著作权归作者所有。本站所有文件均来源于网络,仅供学习使用,请支持正版!
转载请注明出处!

发表评论 取消回复